人工智能:知识表示和推理 II-III


授课对象:计算机科学与技术专业 二年级
课程名称:人工智能(专业必修)
节选内容:第三章 知识表示和推理 II
课程学分:3学分
逻辑推理
逻辑推理
定义
• 逻辑推理指的是用蕴涵推导出结论
• 模型验证则是通过枚举所有可能的模型来验证在给定当前知识库(记作????)的前提下,结论都为真
如果推理算法??可以根据 导出结论 ,则形式化地记为
只会导出蕴涵句的推理算法被称为可靠的或真值保持的
逻辑推理方法
演绎推理
Deductive Reasoning


归纳推理
Inductive Reasoning


溯因推理
Abductive Reasoning


演绎推理
Deductive Reasoning

从一般推导出个别
三段论式 (三段论法)
① 足球运动员的身体都是强壮的 ; ( 大前提 )
高波是一名足球运动员; ( 小前提 )
③ 所以,高波的身体是强壮的。 ( 结 论 )
演绎推理
Example

归纳推理
Inductive Reasoning

从个别推导出一般

归纳推理
Example

溯因推理
Example

自然演绎推理
P规则、T规则、假言推理、拒取式推理
从一组已知为真的事实出发,运用经典逻辑的推理规则推出结论的过程。
假言推理
“如果??是金属,则??能导电”,“铜是金属” 推出 “铜能导电”
拒取式推理
“如果下雨,则地下就湿”, “地上不湿” 推出 “没有下雨”
自然演绎推理
Example
已知事实:
(1)凡是容易的课程小王(wang)都喜欢;
(2)??班的课程都是容易的;
(3)ds是??班的一门课程。
求证:小王喜欢ds这门课程。
Prove
1.定义谓词:
:??是容易的
: 喜欢??
是 班的一门课程
2.已知事实和结论用谓词公式表示:
自然演绎推理
Prove
3.应用推理规则进行推理:
3.1. ( \forall x ) { \bigl ( } E a s y ( x ) \to L i k e ( W a n g , x ) { \bigr ) }$$E a s y ( z ) L i k e ( W a n g , z )
全称实例化
3.2. ∀?? ?? ?? → ???????? ???? ?? → ???????? ??
全称实例化
3.3. ?? ???? , ?? ?? → ???????? ?????????? ????
假言推理
3.4. ???????? ???? , ???????? ?? → ???????? ????????, ??????????(????????, ????)
假言推理
自然演绎推理
优点
表达定理证明过程自然,易理解。
拥有丰富的推理规则,推理过程灵活。
便于嵌入领域启发式知识。
缺点
易产生组合爆炸,得到的中间结论一般呈指数形式递增
归结推理
归结演绎推理
反证法
当且仅当
即: 为 的逻辑推论,当且仅当 是不可满足的
定理
??为??1 , ??2 ,…, 的逻辑推论,当且仅当 是不可满足的
核心思路
证明 等价于证明语句 为假,转换为证明子句集 是不可满足的
什么是归结原理?
⚫ 在定理证明系统中,已知一个公式集 , ,…, ,要证明一个公式W (定理)是否成立,即要证明W是公式集的逻辑推论时,一种证明法就是要证明 为永真式。
反证法:证明 为永假,这等价于证明F对应的子句集S = {F1, F2,…, F, ┐W }为不可满足的。
归结演绎推理
文字
原子公式及其否定
: 正文字
: 负文字
子句
任何文字的析取。某个文字本身也都是子句。
空子句:不包含任何文字的子句,记作NIL
空子句是永假的,不可满足的。
子句集
由子句构成的集合(子句的合取)
归结演绎推理
归结式
对于任意两个子句 和 ,若 中有一个文字 ,而 中有一个与L成互补的文字¬?? ,则分别从 和 中删去 和¬?? ,并将其剩余部分组成新的析取式。
这个新的子句被称为 和 关于 的归结式, 和 则是该归结式的亲本子句
子句 和 的归结式为空子句记作()、□或NIL
子句 和 的归结式为
定理
两个子句的归结式是这两个子句集的逻辑推论,如
归结式的定义与性质
⚫ 定定理
两个子句C1和C2的归结式C是C1和C2的逻辑推论
Prove
证:设C1=L∨C1’, 关于解释I为真,则需证明 \complement =$$\mathsf { C } | ^ { \textsf { \tiny { I } } } \vee \mathsf { C } 2 ^ { \textsf { \tiny { I } } } 关于解释I也为真。
关于解释I,L和┐L二者中必有一个为假。若L为假,则C1’必为真,否则C1为假,这与前提假设矛盾,所以只能是C1’为真。
同理,若┐L为假,则C2’必为真。最后有 关于解释I为真,即C是C1和C2的逻辑推论。
归结式的定义与性质
由于子句集中子句之间是合取关系,因此只要有一个子句不可满足,则子句集就不可满足。
⚫ 推推论
子句集S={C1,C2,…,Cn}与子句集S1={C,C1,C2,…,Cn}的不可满足性是(其中C是C1和C2的归结式)。
Prove
证:设S是不可满足的,则C1,C2,…,Cn中必有一为假,因而S1必为不可满足的。设S1是不可满足的,则对于不满足S1的任一解释I,可能有两种情况:
(1)I使C为真,则C1,C2,…,Cn中必有一子句为假,因而S是不可满足的。
(2)I使C为假,则根据定理有归结式 (C1,C2)为假,即I或使C1为假,或使C2为假,因而S也是不可满足的。
由此可见S和S1的不可满足性是等价的。
归结式的定义与性质
推论
同理可证Si和 \ 1+1$ (由Si导出的扩大的子句集)的不可满足性也是等价的,其中i=1,2,…。
归结原理就是从子句集S出发,应用归结推理规则导出子句集S1。再从S1出发导出S2,依此类推,直到某一个子句集Sn出现空子句为止。
根据不可满足性等价原理,已知若Sn为不可满足的,则可逆向依次推得S必为不可满足的。
用归结法,过程比较单钝,只涉及归结推理规则的应用问题,因而便于实现机器证明。
归结推导
⚫ 从一个子句集S(如KB)推导出一个子句C的过程中会产生一系列子句C1, C2, …, Cn,其中 ,且对于Ci (i = 1, 2, …, n-1)均有:
Ci ∈ S
或者Ci是推导过程中产生的某两个子句的归结式
⚫ 从S推导出C记为:S ├ C
归结推导的合理性
定理:如果S ├ C,那么S ╞ C
Prove
证:令S推导出C产生的子句序列为C1, C2, …, Cn。
通过数学归纳法证明对于 , 均成立
反之,若 ,则从S中不一定能够推导出C。
归结推导的合理性和完备性
定理:S ├ (),当且仅当S ╞ (),当且仅当S不可满足
由前文可知,KB ╞ α,当且仅当KB ∧ ┐α不可满足。结合上述定理,我们通过下述过程来判断KB ╞ α是否成立:
记KB ∧ ┐α的子句集为S
判断S ├ ()是否成立,即从S中能否推导出空子句
归结演绎推理
由于子句集中子句之间是合取关系,因此只要有一个子句不可满足,则子句集就不可满足。
鲁宾逊归结原理
检查子句集??中是否包含空子句,若包含,则??不可满足。
若不包含,则在??中选择合适的子句进行归结,一旦归结出空子句,就说明??是不可满足的。
命题逻辑的归结推理
命题逻辑的归结推理
归结推理过程
命题逻辑中,若给定前提集??和命题 ,则归结证明过程可归纳如下:
1.把??转化成子句集表示,得到子句集
2.把命题 的否定式 也转化成子句集表示,并将其加到 中,得
3.对子句集??反复应用归结推理规则(推导),直至导出含有空子句的扩大子句集为止。即出现归结式为空子句时,表明已找到矛盾,证明过程结束
Example
设已知前提集为:
(1) ??
(2)
(3) ?? ∨ ?? → ??
(4) ??
求证
Prove.
1.化成子句集: S = \{ P , \lnot P \lor \lnot Q \lor R , \lnot S \lor$$Q , \neg T \lor Q , T , \neg R \}
2.归结可用图的演绎树表示,由于根部出现空子句,因此命题??得证

命题逻辑的归结原理和过程
Practice
KB
FirstGrade
FirstGrade Child
Child ^ Male Boy
Kindergarten Child
Child ^ Female Girl
Female
Show that KB |= Girl

谓词逻辑的归结推理
谓词逻辑的归结原理和过程
⚫ 在谓词逻辑中,由于子句中含有变元,所以不能像命题逻辑那样直接消去互补文字,而需要先对变元进行代换,然后才能进行归结。
例如,设有两个子句
由于P 与P(a)不同,所以C1与C2不能直接进行归结。但是若引入替换σ={a/x}对两个子句分别进行代换:
就可对它们进行归结,得到归结式:
谓词逻辑的归结推理
归结过程
在谓词逻辑中应用归结法时,需要:
1.将所有谓词公式(包括知识库KB和查询α)化为子句集
2.通过合一,对含有变量的子句进行归结
合一
在谓词逻辑的归结过程中,寻找项之间合适的变量置换使表达式一致,这个过程称为合一。
用 来表示任一置换。用 对表达式(语句) 作置换后的例简记为 。
可以对表达式多次置换:
如用??和 依次对??进行置换,记为 ???? ??。
其结果等价于先将这两个置换合成(组合)
为一个置换,即 ,再用合成置换对??进行置换,即??(????)
置换与合一:置换
合一(Unify) ■
在谓词逻辑的归结过程中,寻找项之间合适的变量置换使表达式一致,这个过程称为合一 。
置换/代换是形如 的有限集合,其中
是互不相同的变量
是项(常量、变量或函数)
• 表示用 置换 ,不允许????和 相同,不允许用与 有关的项 (但是 中可以包含其它变量),也不允许变量 循环出现在另一个????中
为了便于理解,后续记 , ???? = ????,…, 。用 对表达式E作置换后的例简记为Eσ 。
置换与合一:置换
{a/x, f(b)/y, w/z}是置换
{g(y)/x, f(x)/y}不是置换
是置换
不是置换
规则: IF father(x,y) and man(y) THEN son(y,x)
事实: father(李四,李小四) and man(李小四)
结论: son(李小四,李四)
置换与合一:置换
Example
例 表达式P[x,f(y),B],对应于不同的变换si,可得到不同的例:
置换
置换的例
第一个例叫做原始文字的初等变式,实际上置换后只是对变量作了换名。第四个例称作基例,即置换后项中不再含有变量。
置换与合一:置换
例如,
注意:置换是同时进行的,而不是先后进行的。
可以对表达式多次置换,如用θ和σ依次对E进行置换,记为(Eθ)σ 。其结果等价于先将这两个置换合成(组合)为一个置换,即θσ,再用合成置换对E进行置换,即E(θσ)。
置换与合一:置换
定义 设 /ym}
是两个置换,则这两个置换的复合也是一个置换,它是从
中删去如下两种元素:
后剩下的元素所构成的集合,记为 。
注: tiλ表示对ti运用λ进行置换。
就是对一个公式F先运用θ进行置换,然后再运用λ进行置换:
谓词逻辑的归结推理
归结过程
在谓词逻辑中应用归结法时,需要:
1.将所有谓词公式(包括知识库KB和查询α)化为子句集
2.通过合一,对含有变量的子句进行归结
合成置换
令
步骤1:
步骤2:删除 和
步骤3:删除
可以对表达式多次置换:
如用??和 依次对??进行置换,记为 ???? ??。
其结果等价于先将这两个置换合成(组合)
为一个置换,即 ,再用合成置换对??进行置换,即??(????)
置换与合一:公式集的合一
定义:设有公式集 ,若存在一个置换λ使得
则称λ为公式集F的一个合一,且称 是可合一的。
例如,设有公式集
则下式是它的一个合一:
一个公式集的合一一般不唯一。
置换与合一:最一般合一
定义:设σ是公式集F的一个合一,如果对任一个合一θ都存在一个置换λ,使得θ=σ°λ
则称σ是一个最一般合一 (MGU) 。
(1)置换过程是一个用项代替变元的过程,因此是一个从一般到特殊的过程。
(2)最一般合一是唯一的。
Example
and
is a unifier, but not an MGU
· is an MGU
· ,where
置换与合一:最一般合一
差异集:两个公式中相同位置处不同符号的集合。
例: , ,则 , 是差异集。
求取最一般合一的算法:
令 , , 。ε是空置换。
-
若 只含一个表达式,则算法停止, 就是最一般合一。
-
找出 的差异集 。
-
若 中存在元素 和 ,其中 是变元, 是项,且 不在 中出现,则置:
然后转(2)。若不存在这样的 和tk则算法停止。
- 算法终止,F的最一般合一不存在。
置换与合一:最一般合一
例如,设
求其最一般合一。
令 , 。 中有两个表达式,所以 不是最一般合一。
- 差异集: 。代换: {a/z}
- 。代换:
。代换:
谓词逻辑的归结推理
合一项/置换
对于两个语句 和 ,合一项是使得语句??和 等价的一个置换
最一般合一项
两个语句 和 的最一般合一项 满足
是 和 的一个合一项
对于 和 的任意其它合一项 ,存在一个替换??使得
求最一般合一项
给定两个语句??和 ,
1.初始化: ,
2.如果??包含相同的语句,那么停止算法:当前的置换 为语句 和 的最一般合一项
3.否则,找出??的差异集 :
3.1. 若 是一个变量且 是一个不包含 的项,那么令 , 。返回步骤 2
3.2. 否则,停止算法:语句 和 不可合一
置换与合一
定义 若子句C含有可合一的文字,则在进行归结之前应先对这些文字进行合一。
置换与合一
Example
设: ,
若选 , ,则有: , ¬L2=P(y), 就是L1与¬L2的最一般合一。可得:
定义 设C1与 是两个没有相同变元的子句,L1和L2分别是C1和 中的文字。若σ是L1和¬L2的最一般合一,则称
为 和 的二元归结式,L1和L2称为归结式上的文字。
置换与合一
⚫ 定义 子句 和 的归结式是下列二元归结式之一:
-
与 的二元归结式;
-
与C2的因子 的二元归结式;
-
C1的因子 与C2的二元归结式;
-
C1的因子 与C2的因子 的二元归结式。
⚫ 对于一阶谓词逻辑归结原理也是完备的。即,若子句集S不可满足,则必然存在一个从S到空子句的归结演绎;若存在一个从S到空子句的归结演绎,则S一定是不可满足的。
回顾归结原理和过程
From the two clauses and , where there existsa MGU for and , infer the clause
Theorem. iff is unsatisfiable
归结语言:
- R[1a,2c]{X=a} (Q(g(a)),R(a),Q(z))
“R” means resolution step.
“1a” means the 1st (a-th) literal in the first clause:
. “2c” means the 3rd (c-th)literal in the second clause:
● 1a and 2c are the“clashing” literals.
is the MGU applied.
谓词逻辑的归结推理
Example
谓词公式化为子句集的步骤
1.消去蕴涵和等价符号
2.内移否定符号¬,将其移到紧靠谓词的位置上
双重否定律
德摩根律
量词转换律
谓词逻辑的归结推理
Example
谓词公式化为子句集的步骤
3.变量标准化,对变量作必要的换名,使每一量词只约束一个唯一的变量名
4.消去存在量词 (Skolemize)。对于待消去的存在量词,若不在任何全称量词辖域之内,则用Skolem常量替代公式中存在量词约束的变量;若受全称量词约束,则要用Skolem函数替代存在量词约束的变量,然后就可消去存在量词。
Skolemize
对于一般情况
存在量词??的Skolem函数为
a.存在量词不出现在全称量词的辖域内,则只要用一个新的个体常量替换受该量词约束的变元。
谓词逻辑的归结推理b.存在量词位于一个或者多个全称量词的辖域内,此时要用Skolem函数f(x1,x2,…,xn)替换受该存在量词约束的变元。
谓词公式化为子句集的步骤
4.消去存在量词 (Skolemize)。对于待消去的存在量词,若不在任何全称量词辖域之内,则用Skolem常量替代公式中存在量词约束的变量;若受全称量词约束,则要用Skolem函数替代存在量词约束的变量,然后就可消去存在量词。
对于一般情况
Skolemy 存在量词 的 函数为
Skolem化:用Skolem函数替代存在量词约束的变量的过程。

Example
Skolemize
对于一般情况
存在量词??的Skolem函数为
谓词逻辑的归结推理
Example
谓词公式化为子句集的步骤
5.化为前束型,即前束型=(前缀)[母式]。其中,前缀为全称量词串,母式为不含量词的谓词公式 ∀?? ¬?? ??, ??(??) ∨ (?? ??, ?? ?? ∧ ¬??(??, ??(??)))
6.把母式化成合取范式。反复使用结合律和分配律,将母式表达成合取范式的Skolem标准形
7.略去全称量词。由于母式的变量均受全称量词的约束,因此可省略掉全称量词
谓词逻辑的归结推理
Example
谓词公式化为子句集的步骤
8.把母式用子句集表示。把母式中每一个合取元称为一个子句,省去合取联结词,这样就可把母式写成集合的形式表示,每一个元素就是一个子句。
9.子句变量标准化。对某些变量重新命名,使任意两个子句不会有相同的变量出现。这是因为在使用子句集进行证明推理的过程中,有时需要例化某一个全称量词约束的变量,该步骤可以使公式尽量保持其一般化形式,增加了应用过程的灵活性。
谓词逻辑的归结推理
Practice
例1 将下列谓词公式化为子句集。
(1)消去蕴涵符号
(2)把否定符号移到每个谓词前面
(3)变量标准化
(4)消去存在量词,设y的Skolem函数是 ,则
谓词逻辑的归结推理
Practice
例1 将下列谓词公式化为子句集。
(5)化为前束型
(6)化为标准形
(7)略去全称量词
(8)消去合取词,把母式用子句集表示
(9)子句变量标准化 ,(P(w),B(w))}
谓词逻辑的归结推理
Example
已知:
(1) 会朗读的人是识字的
(2) 海豚都不识字
(3) 有些海豚是很机灵的
求证:有些很机灵的东西不会朗读
Prove
用谓词逻辑描述问题:
(1)
(2)
(3)
(结论)
谓词逻辑的归结推理
Prove
前提化简,待证结论取反并化成子句形,求得子句集:
(1)
(2)
(3) ?? ??
(4) ??(??)
(5) (¬?? ?? , ??(??))
进行归结:
(6)[4,5] ??/?? (?? ?? )
(7)[1,6] ??/?? (??(??))
(8)[2,7] ??/?? (¬?? ?? )
(9)[3,8] NIL
得证
可判定 vs 不可判定
• 可判定问题:如果存在一个算法或过程,该算法用于求解该类问题时,可在有限步内停止,并给出正确的解答。
• 如果不存在这样的算法或过程则称这类问题是不可判定的。例如,There can be no procedure to decide if a set of clauses is satisfiable.
Theorem. iff is unsatisfiable
However, there is no procedure to check if ,because
When is satisfiable, the search for () may not terminate
可判定 vs 不可判定

对于谓词逻辑,若子句集不可满足,则必存在一个从该子句集到空子句的推导;若从子句集存在一个到空子句的推导,则该子句集是不可满足的。如果没有归结出空子句,则既不能说 S 不可满足,也不能说 S 是可满足的。
谓词逻辑的归结推理
Practice
例2将下列谓词公式化为不含存在量词的前束型。
(1)消去存在量词
(2)消去蕴涵符号
(3)设z的Skolem函数是g(y),则
谓词逻辑的归结原理和过程
在获得子句集后,证明定理演绎过程中,经常要对量化的表达式(不同子句)进行匹配操作,因而需要对项作变量置换使表达式一致起来。
归结过程:
若S中两个子句间有相同互补文字的谓词,但它们的项不同,则必须找出对应的不一致项;
进行变量置换,使它们的对应项一致;
◆ 求归结式看能否推导出空子句。
练习2
KB
∀x GradStudent(x) → Student(x)∀x Student(x) → HardWorker(x) GradStudent(sue)
练习3
| A |
| B |
| C |
| green |
| non-green |
Given the scene, human can easily draw the conclusion”there is a green block directly on top of a non-green block”
· How can a machine do the same?
· S= {On(a,b),On(b,c),Green(a),-Green(c)}
· α =ExEy[Green(x) ^ -Green(y) ^On(x,y)]
logically entails
归结推理
, On(b,c), Green(a), -Green(c)} already in CNF
Query 3x3y[On(x,y) ^ Green(x) ^ -Green(y)]
Note: has no existentials, so yields

练习
Prove that
Exercises: Prove
问题求解
问题求解
步骤 应用归结原理求解问题:
(1)已知前提 用谓词公式表示,并化为子句集 S;
(2)把待求解的问题 用谓词公式表示,并否定 , 再与 answer 构成析取式(﹁ P ∨ answer )
(3)把 )化为子句集,并入到子句集S中,得到子句集S’;
(4)对 应用归结原理进行归结;
(5)若得到归结式answer,则答案就在answer中。
问题求解
Example
设A,B,C三人中有人从不说真话,也有人从不说假话。某人向这三人分别提出同一个问题:谁是说谎者?A答:“B和C都是说谎者”;B答:“A和C都是说谎者”;C答:“A和B中至少有一个是说谎者”。求谁是老实人,谁是说谎者?
设用 表示x说真话。
T(C)∨T(A)∨T(B)
\lnot \mathrm { T } ( \mathbf { C } ) \big \lor \lnot \mathrm { T } ( \mathbf { A } ) \big \lor \lnot \mathrm { T } ( \mathbf { B } )
¬T(B) T(A)∨T(C)
T(C)→¬T(A)∨¬T(B)
¬T(C)→T(A)∧T(B)
把所有公式化成子句集,得到S:
(1) ¬T(A)∨¬T(B)
(2) ¬T(A)∨¬T(C)
(3) T(C)∨T(A)∨T(B)
(4) ¬T(B)∨¬T(C)
(5) ¬T(C)∨¬T(A)∨¬T(B)
(6) T(A)∨T(C)
(7) T(B)∨T(C)
问题求解
Example
设A,B,C三人中有人从不说真话,也有人从不说假话。某人向这三人分别提出同一个问题:谁是说谎者?A答:“B和C都是说谎者”;B答:“A和C都是说谎者”;C答:“A和B中至少有一个是说谎者”。求谁是老实人,谁是说谎者?
下面先求谁是老实人。把¬T(x)∨Answer(x)并入S得到S’。即多一个子句:
(8) ¬T(x)∨Answer(x)
应用归结原理对S1进行归结:
(9) ¬T(A)∨T(C)
(1)和(7)归结
(10) T(C)
(6)和(9)归结
(11) Answer(C)
(8)和(10)归结
所以C是老实人,即C从不说假话。
把所有公式化成子句集,得到S:
(1) ¬T(A)∨¬T(B)
(2) ¬T(A)∨¬T(C)
(3) T(C)∨T(A)∨T(B)
(4) ¬T(B)∨¬T(C)
(5) ¬T(C)∨¬T(A)∨¬T(B)
(6) T(A)∨T(C)
(7) T(B)∨T(C)
问题求解
Example
设A,B,C三人中有人从不说真话,也有人从不说假话。某人向这三人分别提出同一个问题:谁是说谎者?A答:“B和C都是说谎者”;B答:“A和C都是说谎者”;C答:“A和B中至少有一个是说谎者”。求谁是老实人,谁是说谎者?
下面证明A不是老实人,即证明¬T(A)。
对¬T(A)进行否定,并入S中,得到子句集S2,即S2比S多如下子句:
(8) ¬(¬T(A)), 即T(A)
应用归结原理对S2进行归结:
(9) ¬T(A)∨T(C)
(1)和(7)归结
(10) ¬T(A)
(2)和(9)归结
(11) NIL
(8)和(10)归结
所以A不是老实人。同样可以证明B也不是老实人。
把所有公式化成子句集,得到S:
(1) ¬T(A)∨¬T(B)
(2) ¬T(A)∨¬T(C)
(3) T(C)∨T(A)∨T(B)
(4) ¬T(B)∨¬T(C)
(5) ¬T(C)∨¬T(A)∨¬T(B)
(6) T(A)∨T(C)
(7) T(B)∨T(C)
问题求解
Practice
KB: Student(john)
Student(jane)
Happy(john)
Q: 3x[Student(x) ^ Happy(x)]

问题求解
Example
KB:
Student(john)
Student(jane)
Happy(john) v Happy(ja
Query:
x[Student(x) ^ Happy(x

An answer is: either Jane or John
Note: can have variabl
问题求解
Practice
· Whoever can read is literate.
· Dolphins are not literate.
Flipper is an intelligent dolphin.
· Who is intelligent but cannot read.
Use predicates:
吴氏方法

吴文俊
吴文俊(1919年5月12日-2017年5月7日),1919年5月12日出生于上海,祖籍浙江嘉兴,数学家,中国科学院院士,中国科学院数学与系统科学研究院研究员,系统科学研究所名誉所长。
吴文俊先生的研究工作涉及数学的诸多领域,其主要成就表现在拓扑学和数学机械化两个领域。他为拓扑学做了奠基性的工作;他的示性类和示嵌类研究被国际数学界称为“吴公式” “吴示性类”, “吴示嵌类”,至今仍被国际同行广泛引用。
吴氏方法
几何定理机器证明
第一步是几何问题代数化,建立坐标系,并将命题涉及的几何图形的点选取适当的坐标;然后把命题的条件和结论表示为坐标的多项式方程组;最后判断条件方程组的解是否满足结论方程。
通常的几何命题涉及的多项式方程组都是非线形的,一般无法将约束变元求出。吴氏方法是利用伪除法判定条件方程组的解是否是结论方程组的解。而且利用吴氏方法不仅可以判断定理的正确与否,还可以自动找出定理赖以成立的非退化条件,这是传统的做法无法做到的。
王氏算法
王浩
王浩(1921年5月20日—1995年5月13日)数理逻辑学家。祖籍山东省德州市齐河县,生于山东省济南市。
20世纪50年代初被选为美国科学院院士,后又被选为不列颠科学院外国院士。1983年,被国际人工智能联合会授予第一届“数学定理机械证明里程碑奖”,以表彰他在数学定理机械证明研究领域中所作的开创性贡献。著有《数理逻辑概论》、《从数学到哲学》、《哥德尔》、《超越分析哲学》等专著。
王氏算法
一阶逻辑定理证明
1959年,王浩用他首创的“王氏算法”,在一台速度不高的IBM-704电脑上再次向《数学原理》发起挑战。不到9分钟,王浩的机器把这本数学史上视为里程碑的著作中全部(350条以上)的一阶逻辑定理,统统证明了一遍。
该书作者,数学大师罗素得知此事后,在信里写到:“我真希望,在怀特海和我浪费了10年的时间用手算来证明这些定理之前,就知道有这种可能。”王浩教授因此被国际上公认为机器定理证明的开拓者之一。
练习
例 已知
求证:G是F的逻辑结论。
证明:首先把F和¬G化为子句集:
然后进行归结:
(6)¬A(x,y)∨¬B(y)
(7)¬B(b)
(8)NIL
由(1)与(3)归结,{f(x)/z}
由(4)与(6)归结,
由(5)与(7)归结
所以G是F的逻辑结论。
上述归结过程如右图归结树所示。

归结策略
归结策略
归结的一般过程(宽度优先策略):
设有子句集 ,则对此子句集归结的一般过程是:
-
S内任意子句两两逐一进行归结,得到一组归结式,称为第一级归结式,记为S1。
-
把S与S1内的任意子句两两逐一进行归结,得到一组归结式,称为第二级归结式,记为 。
-
S和S1内的子句与 内的任意子句两两逐一进行归结,得到一组归结式,称为第三级归结式,记为 。
-
如此继续,直到出现了空子句或者不能再继续归结为止。
宽度优先策略
设有如下子句集:
用宽度优先策略证明S为不可满足。

从这个例子可以看出,宽度优先策略归结出了许多无用的子句,既浪费时间,又浪费空间。但是,当问题有解时,这种策略保证能找到最短归结路径。
因此,它是一种完备的归结策略。
宽度优先对大问题的归结容易产生组合爆炸,但对小问题却仍是一种比较好的归结策略。
删除策略
⚫纯文字删除法
如果某文字L在子句集中不存在可与之互补的文字¬L,则称该文字为纯文字。包含纯文字的子句可以删除。
重言式删除法
如果一个子句中同时包含互补文字对,则该字句称为重言式。重言式是永远为真的子句,可以删除。
包孕删除法
设有子句C1和 ,如果存在一个代换 ,使得 ,则称 包孕于 。 可删除。
支持集策略
对参加归结的子句提出如下限制:每一次归结时,亲本子句中至少有一个是由目标公式的否定所得到的子句,或者是它的后裔。可以证明,支持集策略是完备的。
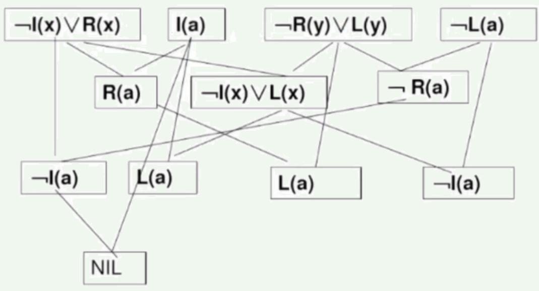
Example
设有子句集 ,其中¬I(x)∨R(x)是目标公式否定后得到的字句。
支持集策略示例
用支持集策略进行归结的过程是:
S:(1) ¬I(x)∨R(x)
(2) I(a)
(3) ¬R(y)∨¬L(y)
(4) L(a)
S1:(5) R(a)
(6) ¬I(x)∨¬L(x)
S2:(7) ¬L(a)
(8) ¬L(a)
(9) ¬I(a)
S3:(10)NIL
(1)与(2)归结
(1)与(3)归结
(2)与(6)归结
(3)与(5)归结
(4)与(6)归结
(2)与(9)归结

支持集策略
支持集策略示例

从上述归结过程可以看出,各级归结式数目要比宽度优先策略生成的少,但在第二级还没有空子句。
就是说这种策略限制了子句集元素的剧增,但会增加空子句所在的深度。
此外支持集策略具有逆向推理的含义,由于进行归结的亲本子句中至少有一个与目标子句有关,因此推理过程可以看作是沿目标、子目标的方向前进的。
线性输入策略
• 限制:参加归结的两个子句中必须至少有一个是初始子句集中的子句。
• 线性输入策略可限制生成归结式的数量,具有简单、高效的优点。但是它是不完备的。

线性输入策略

线性输入策略可限制生成归结式的数目,具有简单和高效的优点但是,这种策略也是一种不完备的策略。
例如
从S出发很容易找到一棵归结反演树,但却不存在线性输入策的归结反演树。
单文字策略
• 如果一个子句只包含一个文字,则称它为单文字子句。
• 限制:参加归结的两个子句中必须至少有一个是单文字子句。
用单文字子句策略归结时,归结式比亲本子句含有较少的文字,这有利于朝着空子句的方向前进,因此它有较高的归结效率。但是,这种归结策略是不完备的。当初始子句集中不包含单文字子句时,归结就无法进行。
单文字策略

采用单文字子句策略,归结式包含的文字数将少于其亲本子句中的文字数,这将有利于向空子句的方向发展,因此会有较高的归结效率。
但这种策略是不完备的,即当子句集为不可满足时,用这种策略不一定能归结出空子句。
祖先过滤策略
该策略与线性策略比较相似,但放宽了限制。当对两个子句C 和 进行归结时,只要它们满足下述任一个条件就可以归结。
C1和 中至少有一个是初始子句集中的子句。
- C1和 中一个是另外一个的祖先子句。
祖先过滤策略是完备的。
祖先过滤策略
例设有如下子句集:
用祖先过滤策略证明S为不可满足。

可以证明祖先过滤策略也是完备的。
在选择归结反演策略时,主要应考虑其完备性和效率问题。
练习

⚫ If Superman were able and willing to prevent evil, he would do so.
⚫ If Superman were unable to prevent evil, he would be impotent;
if he were unwilling to prevent evil, he would be malevolent.
Superman does not prevent evil.
If Superman exists, he is neither impotent nor malevolent.
Therefore, Superman does not exist
W: Superman is willing to prevent evil. A: Superman is able to prevent evil.
P: Superman prevents evil. I: Superman is impotent.
M: Superman is malevolent. E: Superman exists
⚫ Superman were able and willing to prevent evil, he would do so
If Superman were unable to prevent evil he would be impotent
if he were unwilling to prevent evil, he would be malevolent
Superman does not prevent evil
If Superman exists, he is neither impotent nor malevolent
Superman does not exist ¬ E
练习
⚫ Superman were able and willing to prevent evil, he would do so
⚫ If Superman were unable to prevent evil he would be impotent
⚫ if he were unwilling to prevent evil, he would be malevolent
Superman does not prevent evil
⚫ If Superman exists, he is neither impotent nor malevolent
Superman does not exist ¬ E

练习
⚫ 试用归结法证明以下论断为有效的:有些病人喜欢所有医生。没有病人喜欢任何庸医。因而没有医生是庸医。请使用以下谓词。 : 是病人; : 是医生; : 是庸医; : 喜欢y。
- P(a)
- D(b)
- R7,8
练习
解答:t
- 1(a)
- R7,8
小结
内容总结:
➢ 逻辑推理:演绎、归纳、溯因
命题逻辑的归结推理
谓词逻辑的归结推理:求(最一般)合一项
谓词公式化为子句集
➢ 应用归结原理求解问题 归结反演
➢ 归结策略
课外阅读:
➢ https://baike.baidu.com/item/吴文俊/44938?fr=aladdin